Добра фізика - 2
Просто про непросту науку.
Сторінки
ГОЛОВНА
УСПІШНІСТЬ
дкр "ЛІТО"
дкр "ЗИМА"
АСТРОНОМІЯ
МАТЕМАТИКА
ДОВІДНИК
ЛІТЕРАТУРА
вівторок, 6 грудня 2016 р.
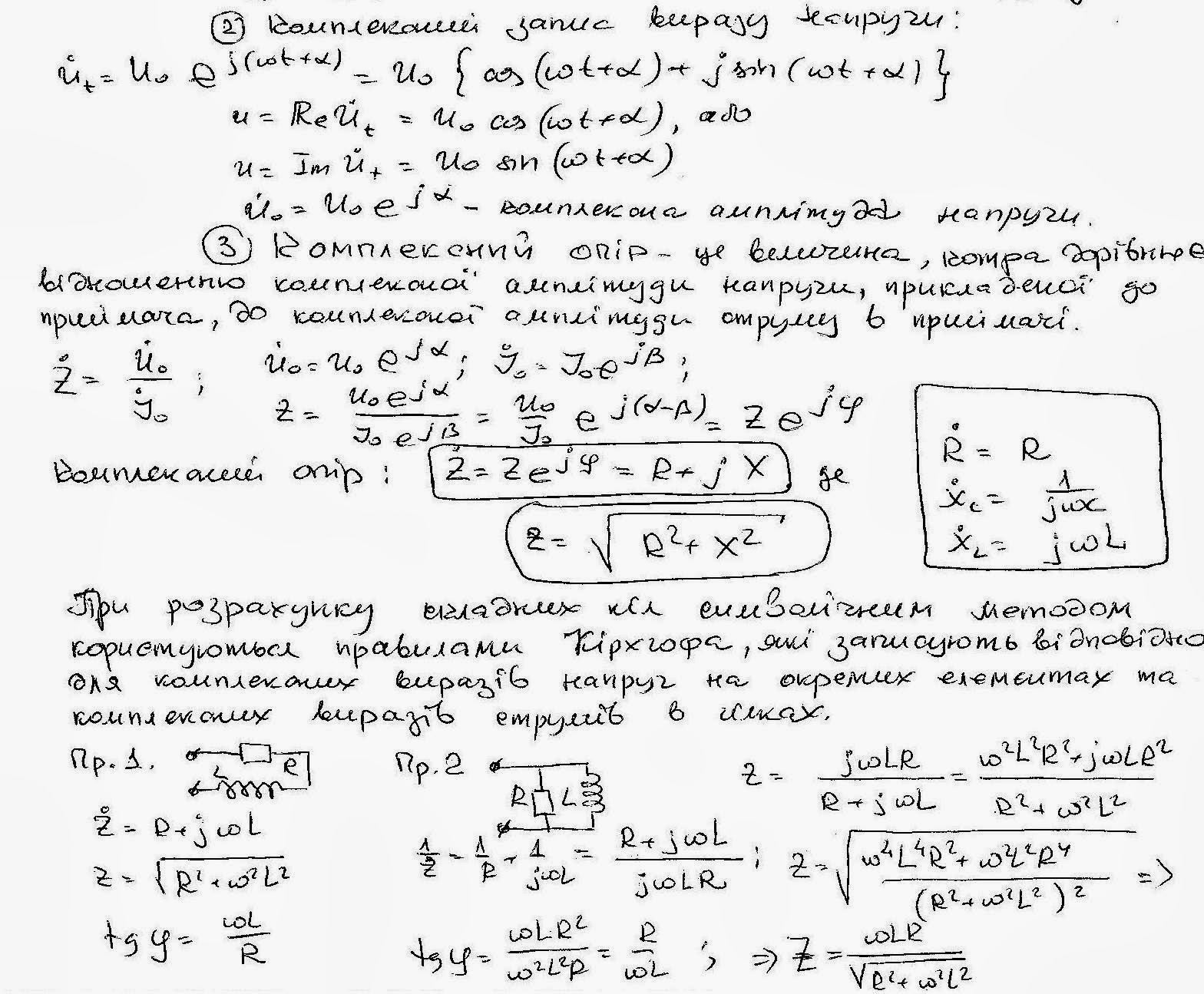
Комплексний опір
Символічний метод
розрахунку електричних кіл
Конспек
т №13
1. Переписати в зошит.
2. Вивчити (!!!).
Новіша публікація
Старіша публікація
Головна сторінка