Максимальна потужність у зовнішньому колі
Елементи схем на рис.1 називають: джерело живлення.
![]() | ||||
| рис.1 |
Обов"язковою умовою реального джерела є наявність у нього внутрішнього опору, причиною якого є будова, структура даного електричного елементу. Ідеальним вважають джерело з внутрішнім опором r = 0.
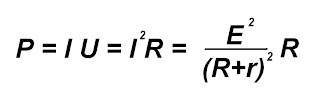
Розв"яжемо наступну задачу:
При якому значенні R потужність у зовнішньому колі буде максимальною (рис.1)?
![]() | |
| рис.2 |
Очевидно, що:


Вираз 1/P мінімальний при мінімумі виразу в дужках.
Скористаємось нерівністю Коші, і застосуємо її до нашої задачі.
Тоді:
З останнього співвідношення отримаємо, що максимальна потужність у
зовнішньому колі виділятиметься, коли зовнішнє навантаження
дорівнюватиме внутрішньому опору джерела:
R = r
Вдругій частині задачі нас запитують:
Чому дорівнюватиме ця потужність?
Підставивши останнє співвідношення у перше отримаємо:
Отже: для
отримання максимальної потужності у зовнішньому колі замало мати
джерело з великим Е.Р.С., необхідно, щоб його внутрішній опір був би
якомога меншим. Окрім цого, як при зменшенні опору навантаження R так і при його збільшенні, потужність, котра виділятиметься у зовнішньму колі зменшуватиметься до нуля. Залежність P(R) зображено графіком.
![]() |
| Графік залежності потужності зовнішнього кола від опору навантаження. r - внутрішній опір джерела. |
- Почитай статтю та спробуй самостійно розв"язати задачу.
- Опрацюй самостійно нерівність Коші, порівняй з методом застосованим на уроці.
- Запам"ятай висновки.
- Чому графічна залежність має саме такий вигляд?


